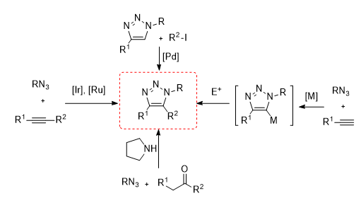
Regioselective synthesis of multisubstituted 1,2,3-triazoles. Moving beyond the copper-catalyzed azide-alkyne cycloaddition
发布时间:2019-06-14
点击次数:
- Title of Paper:
- Regioselective synthesis of multisubstituted 1,2,3-triazoles. Moving beyond the copper-catalyzed azide-alkyne cycloaddition
- Journal:
- Chem. Commun.
- All the Authors:
- Wei, F.; Wang, W.; Ma, Y.*; Tung, C.-H.; Xu, Z.*
- Volume:
- 52
- Page Number:
- 14188-14199. (Invited feature artical)
- Translation or Not:
- No
- Date of Publication:
- 2016-06
- Release Time:
- 2019-06-14

