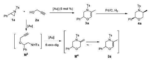
Breaking Aziridines to Construct Morpholines with a Gold(I)-catalyzed Tandem Ring-opening and Cycloisomerization Reaction
发布时间:2019-06-14
点击次数:
- Title of Paper:
- Breaking Aziridines to Construct Morpholines with a Gold(I)-catalyzed Tandem Ring-opening and Cycloisomerization Reaction
- Journal:
- Org. Biomol. Chem
- All the Authors:
- Zhang, S.; Shan, C.; Zhang, S.; Yuan, L.; Wang, J.*; Tung, C.-H.; Xing, L.-B.*; Xu, Z.*
- Volume:
- 14
- Page Number:
- 10973–10980
- Translation or Not:
- No
- Date of Publication:
- 2016-06
- Release Time:
- 2019-06-14

